Langsung ke konten
Tutup Disini
×
ⓘ
Sponsor: AtjehUpdate
Internasional
Nasional
Daerah
Olahraga
Wisata
Home
Berita
Aceh
Nasional
Politik
Hukum & Kriminal
Gaya Hidup
Wisata
Olahraga
Edukasi
Breaking News
Rabithah Alawiyah Aceh Timur Raya Gelar Muscab di Langsa, Tetapkan Struktur Kepengurusan Baru
Bareskrim Kembali Bongkar Impor Ilegal, Gadjah Puteh Minta Dirjen Bea Cukai Tegas Benahi Internal
Pejabat Hobi Flexing, Rakyat Menjerit: Gadjah Puteh Ingatkan Jaga Marwah Jabatan!
KPK Telusuri Gurita Aliran Suap di Bea Cukai, LBH Kantara Soroti Jejaring Pengamanan Kekuasaan Ring Atas
Satwa Mati di Hutan Kota Langsa, LBH Kantara: Indikasi Kuat Pelanggaran Pidana dan Kelalaian Sistemik
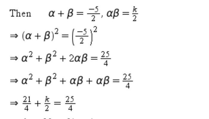
grafik persamaan kuadrat
Matematika
Persamaan Kuadrat yang Akar-akarnya 4 dan 6
25 Januari 2025
25 Januari 2025
×
Home
Berita
Aceh
Nasional
Politik
Hukum & Kriminal
Gaya Hidup
Wisata
Olahraga
Edukasi