Langsung ke konten
Tutup Disini
×
ⓘ
Sponsor: AtjehUpdate
Internasional
Nasional
Daerah
Olahraga
Wisata
Home
Berita
Aceh
Nasional
Politik
Hukum & Kriminal
Gaya Hidup
Wisata
Olahraga
Edukasi
Breaking News
Bareskrim Kembali Bongkar Impor Ilegal, Gadjah Puteh Minta Dirjen Bea Cukai Tegas Benahi Internal
Pejabat Hobi Flexing, Rakyat Menjerit: Gadjah Puteh Ingatkan Jaga Marwah Jabatan!
KPK Telusuri Gurita Aliran Suap di Bea Cukai, LBH Kantara Soroti Jejaring Pengamanan Kekuasaan Ring Atas
Satwa Mati di Hutan Kota Langsa, LBH Kantara: Indikasi Kuat Pelanggaran Pidana dan Kelalaian Sistemik
Alumni Raja Bea Cukai: Dominasi D3 Stan Alamiah atau Sistem yang Diciptakan?
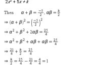
Persamaan Kuadrat
Aljabar
Jumlah dan Hasil Kali Akar Persamaan Kuadrat
28 Januari 2025
28 Januari 2025
Akar 50 adalah Eksplorasi Bilangan Irasional
Matematika
27 Januari 2025
27 Januari 2025
Memahami Konsep Matematika 2 Akar 6
Matematika
27 Januari 2025
27 Januari 2025
Soal Fungsi Kuadrat Pemahaman dan Penerapannya
Matematika
25 Januari 2025
25 Januari 2025
Persamaan Kuadrat yang Akar-akarnya 4 dan 6
Matematika
25 Januari 2025
25 Januari 2025
Persamaan Kuadrat yang Akar-akarnya 5 dan -2
Aljabar
23 Januari 2025
23 Januari 2025
×
Home
Berita
Aceh
Nasional
Politik
Hukum & Kriminal
Gaya Hidup
Wisata
Olahraga
Edukasi