Contoh soal merasionalkan bentuk akar merupakan topik penting dalam matematika, khususnya aljabar. Memahami cara merasionalkan bentuk akar sangat krusial karena membantu menyederhanakan ekspresi matematika yang melibatkan akar irasional, sehingga memudahkan perhitungan dan interpretasi. Artikel ini akan membahas pengertian merasionalkan bentuk akar, metode-metodenya, serta berbagai contoh soal dengan tingkat kesulitan yang bervariasi, termasuk penerapannya dalam konteks geometri dan bidang lainnya.
Proses merasionalkan bentuk akar melibatkan beberapa teknik, antara lain penyederhanaan bentuk akar dan perkalian dengan bentuk sekawan. Dengan memahami kedua metode ini, kita dapat dengan mudah menyelesaikan berbagai soal yang melibatkan bentuk akar, baik yang sederhana maupun kompleks. Pemahaman yang mendalam tentang konsep ini sangat penting untuk keberhasilan dalam mempelajari matematika tingkat lanjut.
Pengertian Merasionalkan Bentuk Akar: Contoh Soal Merasionalkan Bentuk Akar

Merasionalkan bentuk akar merupakan proses penyederhanaan bentuk akar sedemikian rupa sehingga tidak terdapat akar pada penyebut pecahan. Proses ini penting dalam matematika karena memudahkan perhitungan dan penyederhanaan ekspresi aljabar yang melibatkan akar. Tujuan utama merasionalkan bentuk akar adalah untuk menghilangkan akar dari penyebut pecahan, sehingga bentuknya menjadi lebih sederhana dan mudah diinterpretasi.
Bentuk akar dapat dikategorikan menjadi dua, yaitu rasional dan irasional. Pemahaman perbedaan keduanya menjadi kunci dalam memahami proses merasionalkan bentuk akar.
Bentuk Akar Rasional dan Irasional
Bentuk akar rasional adalah bentuk akar yang dapat dinyatakan sebagai pecahan sederhana tanpa akar pada penyebutnya. Sementara bentuk akar irasional memiliki akar pada penyebutnya. Perbedaan mendasar terletak pada keberadaan akar pada penyebut pecahan. Jika ada akar pada penyebut, maka bentuk akar tersebut dikatakan irasional dan perlu dirasionalkan.
| Bentuk Akar | Rasional/Irasional | Penjelasan | Contoh |
|---|---|---|---|
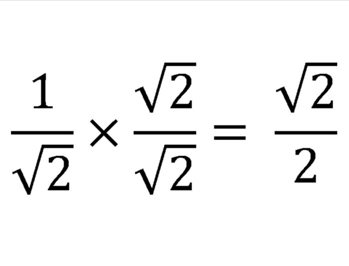
| Pecahan dengan akar pada penyebut | Irasional | Bentuk akar ini belum sederhana karena masih terdapat akar pada penyebut. Perlu dirasionalkan untuk mempermudah perhitungan dan penyederhanaan. | 1/√2, 3/(√5 + 1) |
| Pecahan tanpa akar pada penyebut | Rasional | Bentuk akar ini sudah sederhana karena tidak terdapat akar pada penyebut. Bentuk ini lebih mudah untuk dioperasikan dalam perhitungan matematika. | √2/2, (√5 + 1)/2 |
Ilustrasi Perbedaan Bentuk Akar Rasional dan Irasional
Bayangkan sebuah kue yang dibagi menjadi beberapa bagian. Jika kita mewakili setiap bagian dengan bentuk akar, maka bentuk akar rasional dapat diibaratkan sebagai bagian kue yang ukurannya sudah pasti dan mudah diukur, tanpa ada sisa atau bagian yang tidak terdefinisi dengan jelas. Sebaliknya, bentuk akar irasional diibaratkan sebagai bagian kue yang ukurannya tidak pasti dan sulit diukur secara tepat, karena melibatkan akar yang tidak dapat disederhanakan menjadi bilangan bulat atau pecahan sederhana.
Proses merasionalkan bentuk akar ibarat memotong dan menyusun kembali bagian kue tersebut sehingga ukurannya menjadi pasti dan mudah diukur, menghilangkan bagian-bagian yang tidak terdefinisi.
Metode Merasionalkan Bentuk Akar

Merasionalkan bentuk akar merupakan proses menghilangkan akar dari penyebut suatu pecahan. Terdapat dua metode utama yang umum digunakan: penyederhanaan dan perkalian dengan bentuk sekawan. Pemilihan metode bergantung pada bentuk pecahan yang akan dirasionalkan. Metode penyederhanaan lebih efisien untuk kasus sederhana, sementara perkalian dengan bentuk sekawan lebih efektif untuk kasus yang melibatkan penjumlahan atau pengurangan bentuk akar pada penyebut.
Merasionalkan Bentuk Akar dengan Penyederhanaan
Metode ini cocok diterapkan jika akar pada penyebut dapat disederhanakan terlebih dahulu. Proses penyederhanaan dilakukan dengan mencari faktor-faktor sempurna yang dapat disederhanakan dari dalam akar. Setelah disederhanakan, pembagian dapat dilakukan untuk menghilangkan akar dari penyebut.
Contoh Soal: Rasionalkan bentuk akar
- Sederhanakan akar pada pembilang dan penyebut. √12 dapat disederhanakan menjadi √(4 x 3) = 2√3.
- Bentuk pecahan menjadi
- Bagilah pembilang dan penyebut dengan √3. Hasilnya adalah 2.
Merasionalkan Bentuk Akar dengan Mengalikan Bentuk Sekawan
Metode ini digunakan ketika penyebut berupa penjumlahan atau pengurangan bentuk akar. Bentuk sekawan dari a + √b adalah a – √b, dan sebaliknya. Dengan mengalikan pembilang dan penyebut dengan bentuk sekawan penyebut, kita dapat menghilangkan akar dari penyebut karena memanfaatkan rumus selisih kuadrat (a+b)(a-b) = a²
-b².
Contoh Soal: Rasionalkan bentuk akar
- Kalikan pembilang dan penyebut dengan bentuk sekawan penyebut, yaitu (2 – √3).
- Hasilnya adalah
yang kemudian disederhanakan menjadi
.
- Penyederhanaan lebih lanjut menghasilkan 2 – √3.
Perbedaan Penggunaan Kedua Metode
Perbedaan utama terletak pada jenis penyebut yang dirasionalkan. Penyederhanaan digunakan untuk penyebut yang hanya berupa satu suku yang mengandung akar, sedangkan perkalian dengan bentuk sekawan digunakan untuk penyebut yang berupa dua suku, minimal salah satunya mengandung akar. Metode penyederhanaan lebih langsung dan efisien jika memungkinkan, sedangkan metode bentuk sekawan lebih umum dan dapat diterapkan pada berbagai kasus yang lebih kompleks.





